Amine
| Primary amine | Secondary amine | Tertiary amine |
|---|---|---|
| |
|
|
Amines are organic compounds and functional groups that contain a basic nitrogen atom with a lone pair. Amines are derivatives of ammonia, wherein one or more hydrogen atoms have been replaced by a substituent such as an alkyl or aryl group.[1] Important amines include amino acids, biogenic amines, trimethylamine, and aniline; see Category:Amines for a list of amines. Inorganic derivatives of ammonia are also called amines, such as chloramine (NClH2).
Compounds with the nitrogen atom attached to a carbonyl of the structure R-C(=O)NR'R'' are called amides and have different chemical properties from amines.
Contents
Classes of amines
Aliphatic amines
Primary amines arise when one of three hydrogen atoms in ammonia is replaced by an alkyl. Important primary alkyl amines include methylamine, ethanolamine (2-aminoethanol), and the buffering agent tris. Secondary amines have two alkyl substituents bound to N together with one hydrogen. Important representatives include dimethylamine and methylethanolamine. In tertiary amines, all three hydrogen atoms are replaced by organic substituents. Examples include trimethylamine, a distinctively fishy smell. Cyclic amines are either secondary or tertiary amines. Examples of cyclic amines include the 3-member ring aziridine and the six-membered ring piperidine. N-methylpiperidine is a cyclic tertiary amine. It is also possible to have four alkyl substituents on the nitrogen. These compounds are not amines but are called quaternary ammonium cations, have a charged nitrogen center, and necessarily come with an anion.
Aromatic amines
Aromatic amines have the nitrogen atom connected to an aromatic ring as in anilines. The aromatic ring decreases the alkalinity of the amine, depending on its substituents. The presence of an amine group strongly increases the reactivity of the aromatic ring, due to an electron-donating effect.
Naming conventions
Amines are named in several ways. Typically, the compound is given the prefix "amino-" or the suffix: "-amine." The prefix "N-" shows substitution on the nitrogen atom. An organic compound with multiple amino groups is called a diamine, triamine, tetraamine and so forth.
Systematic names for some common amines:
| Lower amines are named with the suffix -amine. |
Higher amines have the prefix amino as a functional group.
|
Physical properties
Hydrogen bonding significantly influences the properties of primary and secondary amines.[2] Thus the boiling point of amines is higher than those of the corresponding phosphines, but generally lower than those of the corresponding alcohols. For example, methylamine and ethylamine are gases under standard conditions, whereas the corresponding methyl alcohol and ethyl alcohols are liquids. Gaseous amines possess a characteristic ammonia smell, liquid amines have a distinctive "fishy" smell.
Also reflecting their ability to form hydrogen bonds, most aliphatic amines display some solubility in water. Solubility decreases with the increase in the number of carbon atoms. Aliphatic amines display significant solubility in organic solvents, especially polar organic solvents. Primary amines react with ketones such as acetone.
The aromatic amines, such as aniline, have their lone pair electrons conjugated into the benzene ring, thus their tendency to engage in hydrogen bonding is diminished. Their boiling points are high and their solubility in water is low.
Chirality
Amines of the type NHRR' and NRR'R" are chiral: the nitrogen atom bears four substituents counting the lone pair. The energy barrier for the inversion of the stereocenter is relatively low, e.g., ~7 kcal/mol for a trialkylamine. The interconversion of the stereoisomers has been compared to the inversion of an open umbrella in to a strong wind. Because of this low barrier, amines such as NHRR' cannot be resolved optically and NRR'R" can only be resolved when the R, R', and R" groups are constrained in cyclic structures such as aziridines. Quaternary ammonium salts with four distinct groups on the nitrogen are capable of exhibiting optical activity.
Properties as bases
Like ammonia, amines are bases. Compared to alkali metal hydroxides, amines are weaker (see table for examples of conjugate acid Ka values). The basicity of amines depends on:
- The electronic properties of the substituents (alkyl groups enhance the basicity, aryl groups diminish it).
- Steric hindrance offered by the groups on nitrogen.
- The degree of solvation of the protonated amine.
The nitrogen atom features a lone electron pair that can bind H+ to form an ammonium ion R3NH+. The lone electron pair is represented in this article by a two dots above or next to the N. The water solubility of simple amines is largely due to hydrogen bonding between protons in the water molecules and these lone electron pairs.
- Inductive effect of alkyl groups
| Ions of compound | Kb |
|---|---|
| Ammonia NH3 | 1.8·10−5 M |
| Propylamine CH3CH2CH2NH2 | 4.7·10−4 M |
| 2-Propylamine (CH3)2CHNH2 | 3.4·10−4 M |
| Methylamine CH3NH2 | 4.4·10−4 M |
| Dimethylamine (CH3)2NH | 5.4·10−4 M |
| Trimethylamine (CH3)3N | 5.9·10−5 M |
- +I effect of alkyl groups raises the energy of the lone pair of electrons, thus elevating the basicity. Thus the basicity of an amine may be expected to increase with the number of alkyl groups on the amine. However, there is no strict trend in this regard, as basicity is also governed by other factors mentioned above. Consider the Kb values of the methyl amines given above. The increase in Kb from methylamine to dimethylamine may be attributed to +I effect; however, there is a decrease from dimethylamine to trimethyl amine due to the predominance of steric hindrance offered by the three methyl groups to the approaching Brönsted acid.
- Mesomeric effect of aromatic systems
| Ions of compound | Kb |
|---|---|
| Ammonia NH3 | 1.8·10−5 M |
| Aniline C6H5NH2 | 3.8·10−10 M |
| 4-Methylaniline 4-CH3C6H4NH2 | 1.2·10−9 M |
| 2-Nitroaniline | 1.5·10−15 M |
| 3-Nitroaniline | 2.8·10−13 M |
| 4-Nitroaniline | 9.5·10−14 M |
- -M effect of aromatic ring delocalises the lone pair of electrons on nitrogen into the ring, resulting in decreased basicity. Substituents on the aromatic ring, and their positions relative to the amine group may also considerably alter basicity as seen above.
The solvation of protonated amines changes upon their conversion to ammonium compounds. Typically salts of ammonium compounds exhibit the following order of solubility in water: primary ammonium (RNH3+)> secondary ammonium (R2NH2+) > tertiary ammonium (R3NH+). Quaternary ammonium salts usually exhibit the lowest solubility of the series.
In sterically hindered amines, as in the case of trimethylamine, the protonated form is not well-solvated. For this reason the parent amine is less basic than expected. In the case of aprotic polar solvents (like DMSO and DMF), wherein the extent of solvation is not as high as in protic polar solvents (like water and methanol), the basicity of amines is almost solely governed by the electronic factors within the molecule.
Synthesis
Alkylation
The most industrially significant amines are prepared from ammonia by alkylation with alcohols:
- ROH + NH3 → RNH2 + H2O
These reactions require catalysts, specialized apparatus, and additional purification measures since the selectivity can be problematic. The same amines can be prepared by treatment of Haloalkanes with ammonia and amines:
- RX + 2 R'NH2 → RR'NH + [RR'NH2]X
Such reactions, which are most useful for alkyl iodides and bromides, are rarely employed because the degree of alkylation is difficult to control.[3]
Reductive routes
Via the process of hydrogenation, nitriles are reduced to amines using hydrogen in the presence of a nickel catalyst. Reactions are sensitive acidic or alkaline conditions, which can cause hydrolysis of -CN group. LiAlH4 is more commonly employed for the reduction of nitriles on the laboratory scale. Similarly, LiAlH4 reduces amides to amines. Many amines are produced from aldehydes and ketones via reductive amination, which can either proceed catalytically or stoichiometrically.
Aniline (C6H5NH2) and its derivatives are prepared by reduction of the nitroaromatics. In industry, hydrogen is the preferred reductant, whereas in the laboratory, tin and iron are often employed.
Specialized methods
Many laboratory methods exist for the preparation of amines, many of these methods being rather specialized.
| Reaction name | Substrate | Comment |
|---|---|---|
| Gabriel synthesis | organohalide | reagent: potassium phthalimide |
| Staudinger reduction | Azide | This reaction also takes place with a reducing agent such as lithium aluminium hydride. |
| Schmidt reaction | carboxylic acid | |
| Aza-Baylis–Hillman reaction | imine | Synthesis of allylic amines |
| Hofmann degradation | amide | This reaction is valid for preparation of primary amines only. Gives good yields of primary amines uncontaminated with other amines. |
| Hofmann elimination | Quaternary ammonium salt | upon treatment with strong base |
| Amide reduction | amides | |
| Nitrile reduction | nitriles | |
| Reduction of nitro compounds | nitro compounds | can be accomplished with elemental zinc, tin or iron with an acid. |
| Amine alkylation | haloalkane | |
| Delepine reaction | organohalide | reagent hexamine |
| Buchwald-Hartwig reaction | aryl halide | specific for aryl amines |
| Menshutkin reaction | tertiary amine | reaction product a quaternary ammonium cation |
| hydroamination | alkenes and alkynes | |
| Hofmann-Löffler reaction | haloamine |
Reactions
Alkylation, acylation, and sulfonation
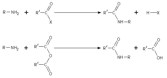
Aside from their basicity, the dominant reactivity of amines is their nucleophilicity.[4] Most primary amines are good ligands for metal ions to give coordination complexes. Amines are alkylated by alkyl halides. Acyl chlorides and acid anhydrides react with primary and secondary amines to form amides (the "Schotten-Baumann reaction").
Similarly, with sulfonyl chlorides, one obtains sulfonamides. This transformation, known as the Hinsberg reaction, is a chemical test for the presence of amines.
Because amines are basic, they neutralize acids to form the corresponding ammonium salts R3NH+. When formed from carboxylic acids and primary and secondary amines, these salts thermally dehydrate to form the corresponding amides.
Diazotization
Amines react with nitrous acid to give diazonium salts. The alkyl diazonium salts are of little synthetic importance because they are too unstable. The most important members are derivatives of aromatic amines such as aniline ("phenylamine") (Ar = aryl or naphthyl):
- ArNH2 + HNO2 + HX → ArN2+X- + 2 H2O
Anilines and naphthylamines form more stable diazonium salts, which can be isolated in the crystalline form.[5] Diazonium salts undergo a variety of useful transformations involving replacement of the N2 group with anions. For example, cuprous cyanide gives the corresponding nitriles:
- ArN2+ + Y- → ArY + N2
Aryldiazonium couple with electron-rich aromatic compounds such as a phenol to form azo compounds. Such reactions are widely applied to the production of dyes.[6]
Conversion to imines
Imine formation is an important reaction. Primary amines react with ketones and aldehydes to form imines. In the case of formaldehyde (R' = H), these products typically exist as cyclic trimers.
- RNH2 + R'2C=O → R'2C=NR + H2O
Reduction of these imines gives secondary amines:
- R'2C=NR + H2 → R'2CH-NHR
Similarly, secondary amines react with ketones and aldehydes to form enamines:
- R2NH + R'(R"CH2)C=O → R"CH=C(NR2)R' + H2O
Overview
An overview of the reactions of amine is given below:
| Reaction name | Reaction product | Comment |
|---|---|---|
| Amine alkylation | amines | degree of substitution increases |
| Schotten-Baumann reaction | amides | Reagents: acyl chlorides, acid anhydrides |
| Hinsberg reaction | sulfonamides | Reagents: sulfonyl chlorides |
| Amine-carbonyl condensation | imines | |
| Organic oxidation | nitroso compounds | Reagent: peroxymonosulfuric acid |
| Organic oxidation | diazonium salt | Reagent: nitrous acid |
| Zincke reaction | Zincke aldehyde | reagent pyridinium salts, with primary and secondary amines |
| Emde degradation | tertiary amine | reduction of quaternary ammonium cations |
| Hofmann-Martius rearrangement | aryl substituted anilines | |
| Von Braun reaction | Organocyanamide | By cleavage (tertiary amines only) with cyanogen bromide |
| Hofmann elimination | Alkene | proceeds by β-elimination of less hindered carbon |
| Cope reaction | Alkene | Similar to Hofmann elimination |
| carbylamine reaction | Isonitrile | (primary amines only) |
| Hoffmann's mustard oil test | Isothiocyanate | CS2 and HgCl2 are used. Thiocyanate smells like mustard. |
Biological activity
Amines are ubiquitous in biology. The breakdown of amino acids releases amines, famously in the case of decaying fish which smell of trimethylamine. Many neurotransmitters are amines, including epinephrine, norepinephrine, dopamine, serotonin, and histamine. Protonated amino groups (-NH3+) are the most common positively charged moieties in proteins, specifically in the amino acid lysine.[7] The anionic polymer DNA is typically bound to various amine-rich proteins.[8] Additionally, the terminal charged primary ammonium on lysine forms salt bridges with carboxylate groups of other amino acids in polypeptides, which is one of the primary influences on the three-dimensional structures of proteins.[9]
Application of amines
Dyes
Primary aromatic amines are used as a starting material for the manufacture of azo dyes. It reacts with nitric acid to form diazonium salt, which can undergo coupling reaction to form azo compound. As azo-compounds are highly coloured, they are widely used in dyeing industries, such as:
Drugs
Many drugs are designed to mimic or to interfere with the action of natural amine neurotransmitters, exemplified by the amine drugs:
- Chlorpheniramine is an antihistamine that helps to relieve allergic disorders due to cold, hay fever, itchy skin, insect bites and stings.
- Chlorpromazine is a tranquillizer that sedates without inducing sleep. It is used to relieve anxiety, excitement, restlessness or even mental disorder.
- Ephedrine and phenylephrine, as amine hydrochlorides, are used as decongestants.
- Amphetamine, methamphetamine, and methcathinone are psychostimulant amines that are listed as controlled substances by the US DEA.
- Amitriptyline, imipramine, lofepramine and clomipramine are tricyclic antidepressants and tertiary amines.
- Nortriptyline, desipramine, and amoxapine are tricyclic antidepressants and secondary amines. (The tricyclics are grouped by the nature of the final amine group on the side chain.)
Gas treatment
Aqueous monoethanolamine (MEA), diglycolamine (DGA), diethanolamine (DEA), diisopropanolamine (DIPA) and methyldiethanolamine (MDEA) are widely used industrially for removing carbon dioxide (CO2) and hydrogen sulfide (H2S) from natural gas and refinery process streams. They may also be used to remove CO2 from combustion gases / flue gases and may have potential for abatement of greenhouse gases. Related processes are known as sweetening.[10]
Safety
Low molecular weight amines are toxic, and some are easily absorbed through the skin. Many higher molecular weight amines are highly active biologically.
External links
- Primary amine synthesis - Synthetic protocols from organic-reaction.com
See also
|
References
- ↑ McMurry, John E. (1992), Organic Chemistry (3rd ed.), Belmont: Wadsworth, ISBN 0-534-16218-5
- ↑ Script error
- ↑ Karsten Eller, Erhard Henkes, Roland Rossbacher, Hartmut Höke "Amines, Aliphatic" in Ullmann's Encyclopedia of Industrial Chemistry, Wiley-VCH, Weinheim, 2005. doi:10.1002/14356007.a02_001
- ↑ March, Jerry (1992), Advanced Organic Chemistry: Reactions, Mechanisms, and Structure (4th ed.), New York: Wiley, ISBN 0-471-60180-2
- ↑ A. N. Nesmajanow (1943), "β-Naphthylmercuric chloride", Org. Synth., http://www.orgsyn.org/orgsyn/orgsyn/prepContent.asp?prep=cv2p0432; Coll. Vol. 2: 432
- ↑ Klaus Hunger, Peter Mischke, Wolfgang Rieper, Roderich Raue, Klaus Kunde, Aloys Engel "Azo Dyes” in Ullmann’s Encyclopedia of Industrial Chemistry, 2005, Wiley-VCH, Weinheim.doi:10.1002/14356007.a03_245.
- ↑ Miguel A. Andrade, Sean I. O'Donoghue, Burkhard Rost, Adaptation of protein surfaces to subcellular location, Journal of Molecular Biology, Volume 276, Issue 2, 20 February 1998, Pages 517-525, ISSN 0022-2836
- ↑ Nelson, D. L.; Cox, M. M. "Lehninger, Principles of Biochemistry" 3rd Ed. Worth Publishing: New York, 2000. ISBN 1-57259-153-6.
- ↑ Dominant forces in protein folding, Ken A. Dill, Biochemistry 1990 29 (31), 7133-7155
- ↑ Georg Hammer, Torsten Lübcke, Roland Kettner, Mark R. Pillarella, Herta Recknagel, Axel Commichau, Hans-Joachim Neumann and Barbara Paczynska-Lahme "Natural Gas" in Ullmann's Encyclopedia of Industrial Chemistry, 2006, Wiley-VCH, Weinheim. doi:10.1002/14356007.a17_073.pub
| ||||||||
bn:অ্যামিন bg:Амин ca:Amina cs:Aminy da:Amin de:Amine et:Amiinid el:Αμίνες es:Amina eo:Amino fa:آمین (شیمی) fo:Amin fr:Amine (chimie) gl:Amina ko:아민 hi:एमीन hr:Amin io:Amino id:Amina it:Ammine he:אמין ka:ამინები kk:Аминдер lv:Amīni hu:Aminok mk:Амин (хемија) ml:അമീനുകൾ ms:Amina nl:Amine ja:アミン no:Amin nn:Amin oc:Amina pl:Aminy pt:Amina ro:Amină ru:Амины sk:Amín sl:Amin sr:Amin (hemija) fi:Amiinit sv:Amin ta:அமைன் tr:Amin (kimya) uk:Аміни vi:Amin zh-yue:胺 zh:胺
