Ascorbic acid
| L-Ascorbic acid | |||
|---|---|---|---|
| (5R)-[(1S)-1,2-dihydroxyethyl]-3,4-dihydroxyfuran-2(5H)-one | |||
| Other names Vitamin C | |||
| Identifiers | |||
| CAS number | 50-81-7 | ||
| PubChem | 5785 | ||
| ChemSpider | 10189562 | ||
| UNII | PQ6CK8PD0R | ||
| EC number | 200-066-2 | ||
| KEGG | D00018 | ||
| ChEBI | CHEBI:29073 | ||
| ChEMBL | CHEMBL196 | ||
| ATC code | A11 | ||
| Jmol-3D images | Image 1 Image 2 | ||
| |||
| |||
| Molecular formula | C6H8O6 | ||
| Molar mass | 176.12 g mol−1 | ||
| Hazards | |||
| MSDS | JT Baker Oxford University
|
LD50 | 11.9 g/kg (oral, rat)[1] |
| (verify) (what is: Except where noted otherwise, data are given for materials in their standard state (at 25 °C, 100 kPa) | |||
| Infobox references | |||
Ascorbic acid is a naturally occurring organic compound with antioxidant properties. It is a white solid but impure samples can appear yellowish. It dissolves well in water to give mildly acidic solutions. Ascorbic acid is one form ("vitamer") of vitamin C. The name is derived from a- (meaning "no") and scorbutus (scurvy), the disease caused by a deficiency of vitamin C. Being derived from glucose, many animals are able to produce it, but humans require it as part of their nutrition.
Contents
History
The discovery of an essential disease-preventing compound in foods that was distinct from the one that prevented Beriberi was made in 1907 by two Norwegian physicians while investigating dietary deficiency diseases using the new animal model of guinea pigs. Quite unexpectedly, guinea pigs proved to be susceptible to scurvy when fed a diet similar to that of sailors who developed scurvy, and the food-factor of unknown chemical nature that guinea pigs required, was eventually called vitamin C.
From 1928 to 1932, the Hungarian research team led by Albert Szent-Györgyi, as well as that of the American worker Charles Glen King, identified the antiscorbutic factor as a particular single pure chemical substance. Szent-Györgyi had isolated the chemical hexuronic acid from animal adrenal glands at the Mayo clinic. He suspected it to be the antiscorbutic factor, but could not prove it without a biological assay. This was finally done by King's laboratory at the University of Pittsburgh, which had been working on the problem for years. In late 1931, King's lab obtained adrenal hexuronic acid indirectly from Szent-Györgyi and proved that it was vitamin C by early 1932. This was the last of the compound from animal sources, but later that year, Szent-Györgyi's group discovered that paprika pepper, a common spice in the Hungarian diet, was a rich source of hexuronic acid, and he sent some of the now more available chemical to Walter Norman Haworth, a British sugar chemist.[2]
In 1933, working with the then Assistant Director of Research (later Sir) Edmund Hirst and their research teams, Haworth deduced the correct structure and optical-isomeric nature of vitamin C, and reported the first synthesis of the vitamin.[3] In honor of the compound's antiscorbutic properties, Haworth and Szent-Györgyi now proposed the new name of "a-scorbic acid" for the molecule, with L-ascorbic acid as its formal chemical name.
In 1937, the Nobel Prize for chemistry was awarded to Norman Haworth for his work in determining the structure of ascorbic acid (shared with Paul Karrer, who received his award for work on vitamins), and the prize for Physiology or Medicine that year went to Albert Szent-Györgyi for his studies of the biological functions of L-ascorbic acid. At the time of its discovery in the 1920s, it was called hexuronic acid by some researchers, but named L-ascorbic acid by Haworth and Szent-Györgyi when its structure was finally proven by synthesis.[4]
Reactions
Ascorbic acid resembles the sugar from which it is derived, being a ring containing many oxygen functional groups. The molecule exists in equilibrium with two ketone tautomers, which are less stable than the enol form. These forms rapidly interconvert in solutions of ascorbic acid.
Antioxidant mechanism
Most importantly, ascorbic acid is a mild reducing agent. For this reason, it degrades upon exposure to oxygen, especially in the presence of metal ions and light. It can be oxidized by one electron to a radical state or doubly oxidized to the stable form called dehydroascorbic acid.
(reduced form of Vitamin C)
Bottom: dehydroascorbic acid
(nominal oxidized form of Vitamin C)
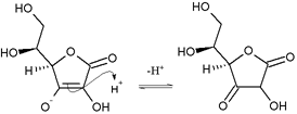
Ascorbate usually acts as an antioxidant. Typically it reacts with oxidants such as the reactive oxygen species, such as the hydroxyl radical formed from hydrogen peroxide. Such radicals are damaging to animals and plants at the molecular level due to their possible interaction with nucleic acids, proteins, and lipids. Sometimes these radicals initiate chain reactions. Ascorbate can terminate these chain radical reactions by electron transfer. Ascorbic acid is special because it can transfer a single electron, owing to the stability of its own radical ion called "semidehydroascorbate". dehydroascorbate. The net reaction is:
- RO• + C6H7O−
6 → ROH + C6H6O-•
6.
The oxidized forms of ascorbate are relatively unreactive, and do not cause cellular damage.
However, being a good electron donor, excess ascorbate in the presence of free metal ions can not only promote, but also initiate free radical reactions, thus making it a potentially dangerous pro-oxidative compound in certain metabolic contexts.
Acidity
Ascorbic acid, a reductone, behaves as a vinylogous carboxylic acid where the electrons in the double bond, hydroxyl group lone pair, and the carbonyl double bond form a conjugated system. Because the two major resonance structures stabilize the deprotonated conjugate base of ascorbic acid, the hydroxyl group in ascorbic acid is much more acidic than typical hydroxyl groups. In other words, ascorbic acid can be considered an enol where the deprotonated form is a stabilized enolate.Food chemistry
Ascorbic acid and its sodium, potassium, and calcium salts are commonly used as antioxidant food additives. These compounds are water-soluble and thus cannot protect fats from oxidation: For this purpose, the fat-soluble esters of ascorbic acid with long-chain fatty acids (ascorbyl palmitate or ascorbyl stearate) can be used as food antioxidants. Eighty percent of the world's supply of ascorbic acid is produced in China.[5]
The relevant European food additive E numbers are
- E300 ascorbic acid,
- E301 sodium ascorbate,
- E302 calcium ascorbate,
- E303 potassium ascorbate,
- E304 fatty acid esters of ascorbic acid (i) ascorbyl palmitate (ii) ascorbyl stearate.
In plastic manufacturing, ascorbic acid can be used to assemble molecular chains more quickly and with less waste than traditional synthesis methods.[6]
It creates volatile compounds when mixed with glucose and amino acids.[7]
It is a cofactor in tyrosine oxidation.[8]
Niche, non-food uses
Ascorbic acid is easily oxidized and so is used as a reductant in photographic developer solutions (among others) and as a preservative.
In fluorescence microscopy and related fluorescence-based techniques, ascorbic acid can be used as an antioxidant to increase fluorescent signal and chemically retard dye photobleaching.[9]
It is also commonly used to remove dissolved metal stains, such as iron, from fiberglass swimming pool surfaces.
Ascorbic acid biosynthesis
Ascorbic acid is found in plants, animals, and single-cell organisms where it is produced from glucose.[10] All animals either make it, eat it, or else die from scurvy due to lack of it. Reptiles and older orders of birds make ascorbic acid in their kidneys. Recent orders of birds and most mammals make ascorbic acid in their liver where the enzyme L-gulonolactone oxidase is required to convert glucose to ascorbic acid.[10] Humans, some other primates, and guinea pigs are not able to make L-gulonolactone oxidase because of a genetic mutation and are therefore unable to make ascorbic acid. Synthesis and signalling properties are still under investigation.[11] Sodium ascorbate and ascorbic acid are also used in swimming pools and spas to reduce high levels of both chlorine and bromine.
Industrial preparation
Ascorbic acid is synthesized from glucose through a five-step process. Firstly, glucose, a pentahydroxy aldose, is reduced to sorbitol, which is then oxidized by the microorganism Acetobacter suboxydans. To selectively oxidize only one of the six hydroxy groups in sorbitol, an enzymatic reaction is involved. Treatment with acetone and an acid catalyst then protects four of the remaining hydroxyl groups in acetal linkages. The unprotected hydroxyl group is chemically oxidized to the carboxylic acid by reaction with sodium hypochlorite (bleaching solution). Hydrolysis with acid then removes the two acetal groups. The removal then causes an internal ester-forming reaction to yield ascorbic acid. Each of the five steps has a yield larger than 90%.
Determination
The traditional way to analyze the ascorbic acid content is titration with an oxidizing agent.
- Iodine (Iodimetry)
Using iodine and a starch indicator, iodine reacts with ascorbic acid, and, when all the ascorbic acid has reacted, the iodine is then in excess, forming a blue-black complex with the starch indicator. This indicates the end-point of the titration. As an alternative, ascorbic acid can be treated with iodine in excess, followed by back titration with sodium thiosulfate using starch as an indicator.[12]
- Iodate and iodine
The above \ involving iodine requires standardising the iodine solution. Iodine can be generate in the presence of the ascorbic acid by the reaction of iodate and iodide in acid solution, the ionic equation for this reaction follows;
- N-Bromosuccinimide
A much-less-common oxidising agent is N-bromosuccinimide, (NBS). In this titration, the NBS oxidises the ascorbic acid in the presence of potassium iodide and starch. When the NBS is in excess (i.e., the reaction is complete), the NBS liberates the iodine from the potassium iodide, which then forms the blue/black complex with starch, indicating the end-point of the titration.
- Iodimetric determination involving electrochemical method
Electrolyzing the solution of potassium iodide produces iodine, which reacts with ascorbic acid. The end of process is determined by potentiometric titration in a manner similar to Karl Fischer titration. The amount of ascorbic acid can be calculated by the Faraday's law.
Compendial status
See also
- Colour retention agent
- Vitamin C: a discussion of the medical properties of ascorbic acid as well as its historic and social role
- Dehydroascorbic acid, an oxidized form of ascorbic acid.
- Erythorbic acid: a diastereomer of ascorbic acid.
- Mineral ascorbates: salts of ascorbic acid
- D-erythroascorbic acid: yeasts do not make vitamin C (L-ascorbic acid), but a similar antioxidant known as D-erythroascorbic acid
- Acids in wine
Notes and references
- ↑ "Safety (MSDS) data for ascorbic acid". Oxford University. 2005-10-09. http://physchem.ox.ac.uk/MSDS/AS/ascorbic_acid.html. Retrieved 2007-02-21.
- ↑ Story of Vitamin C's chemical discovery. Accessed Jan 21, 2010
- ↑ Davies, Michael B.; Austin, John; Partridge, David A. (1991), Vitamin C: Its Chemistry and Biochemistry, The Royal Society of Chemistry, p. 48, ISBN 0-85186-333-7
- ↑ Svirbelf, Joseph Louis; Szent-Györgyi, Albert (April 25, 1932), The Chemical Nature Of Vitamin C, http://profiles.nlm.nih.gov/WG/B/B/G/W/_/wgbbgw.pdf. Part of the National Library of Medicine collection. Accessed January 2007
- ↑ Weiss, Rick (May 20, 2007), "Tainted Chinese Imports Common", Washington Post, http://www.washingtonpost.com/wp-dyn/content/article/2007/05/19/AR2007051901273.html, retrieved 2010-04-25.
- ↑ Vitamin C, water have benefits for plastic manufacturing, Reliable Plant Magazine, 2007, archived from the original on 2007-09-27, http://www.reliableplant.com/article.asp?pagetitle=Vitamin+C,+water+have+benefits+for+plastic+manufacturing&articleid=3133, retrieved 2007-06-25.
- ↑ http://onlinelibrary.wiley.com/doi/10.1111/j.1365-2621.1981.tb15349.x/abstract
- ↑ http://www.jbc.org/content/196/2/761.full.pdf
- ↑ Script error
- ↑ 10.0 10.1 Stone, Irwin (1972), The Natural History of Ascorbic Acid in the Evolution of Mammals and Primates, http://www.seanet.com/~alexs/ascorbate/197x/stone-i-orthomol_psych-1972-v1-n2-3-p82.htm.
- ↑ Valpuesta, Victoriano; Botella, Miguel (December 2004), "Biosynthesis of L-ascorbic acid in plants: new pathways for an old antioxidant", TRENDS in Plant Science 9 (12), http://www.bmbq.uma.es/lbbv/index_archivos/pdf/Valpuesta%202004.pdf
- ↑ A website with an excerpt to using iodine
- ↑ British Pharmacopoeia Commission Secretariat (2009). "Index, BP 2009". http://www.pharmacopoeia.co.uk/pdf/2009_index.pdf. Retrieved 4 February 2010.
- ↑ "Japanese Pharmacopoeia, Fifteenth Edition". 2006. http://jpdb.nihs.go.jp/jp15e/JP15.pdf. Retrieved 4 Februally 2010.
Further reading
- Clayden; Greeves; Warren; Wothers (2001), Organic Chemistry, Oxford University Press, ISBN 0-19-850346-6.
- Davies, Michael B.; Austin, John; Partridge, David A., Vitamin C: Its Chemistry and Biochemistry, Royal Society of Chemistry, ISBN 0-85186-333-7.
- Coultate, T. P., Food: The Chemistry of Its Components (3rd ed.), Royal Society of Chemistry, ISBN 0-85404-513-9.
- Gruenwald, J.; Brendler, T.; Jaenicke, C., eds. (2004), PDR for Herbal Medicines (3rd ed.), Montvale, New Jersey: Thomson PDR.
- McMurry, John (2008), Organic Chemistry (7e ed.), Thomson Learning, ISBN 978-0-495-11628-8.
External links
- International Chemical Safety Card 0379
- SIDS Initial Assessment Report for L-Ascorbic acid from the Organisation for Economic Co-operation and Development (OECD)
- IPCS Poisons Information Monograph (PIM) 046
- Interactive 3D-structure of vitamin C with details on the x-ray structure
| |||||||||||||||||||||||||||||||||||
| |||||||||||||||||||||
| |||||