Lignosulfonates, or sulfonated lignin, (CAS number 8062-15-5) are water-soluble anionic polyelectrolyte polymers: they are byproducts from the production of wood pulp using sulfite pulping.[1]

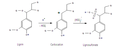
Most delignification in sulfite pulping involves acidic cleavage of ether bonds, which connect many of the constituents of lignin.[2] The electrophilic carbocations produced during ether cleavage react with bisulfite ions (HSO3-) to give sulfonates.

R-O-R' + H+ → R+ + R'OH
R+ + HSO3- → R-SO3H

The primary site for ether cleavage is the α-carbon (carbon atom attached to the aromatic ring) of the propyl (linear three carbon) side chain. The following structures do not specify the structure since lignin and its derivatives are complex mixtures: the purpose is to give a general idea of the structure of lignosulfonates. The groups labeled "Q" can be a wide variety of groups found in the structure of lignin. Sulfonation occurs on the side chains, not on the aromatic rings, like in p-toluenesulfonic acid.

Generalized structure of lignosulfonates

Lignosulfonate have very broad ranges of molecular mass (they are very polydisperse). A range of from 1000–140,000 da has been reported for softwood lignosulfonates with lower values reported for hardwoods.[1]

Preparation

Lignosulfonates are recovered from the spent pulping liquids (red or brown liquor) from sulfite pulping. The most widely used industrial process is the Howard process, in which 90–95% yields of calcium lignosulfonates (CAS number 904-76-3), are precipitated by adding of excess calcium hydroxide. Ultrafiltration and ion-exchange can also be used to separate lignosulfonates from the spent pulping liquid.[1] A list of CAS numbers for the various metal salts of lignosulfonate is available.[3]

Uses

Lignosulfonates have a wide variety of applications.[4]

The single largest use for lignosulfonates is as plasticizers in making concrete,[1] where they allow concrete to be made with less water (giving stronger concrete) while maintaining the ability of the concrete to flow. Lignosulfonates are also used during the production of cement, where they act as grinding aids in the cement mill and as a rawmix slurry deflocculant (that reduces the viscosity of the slurry).

Lignosulfonates are also used for the production of plasterboard to reduce the amount of water required to make the stucco flow and form the layer between two sheets of paper. The reduction in water content allows lower kiln temperatures to dry the plasterboard, saving energy.

The ability of lignosulfonates to reduce the viscosity of mineral slurries is used to advantage in oil drilling mud, where it replaced tannic acids from quebracho (a tropical tree).

Lignosulfonates are used to disperse pesticides, dyes,[5] carbon black,[6] and other insoluble solids and liquids into water. They are used in tanning leather. They are also used to suppress dust on unpaved roads.[7]

Oxidation of lignosulfonates from softwood trees produced vanillin (artificial vanilla flavor), but this is not a current use.[8]

Dimethyl sulfide and dimethyl sulfoxide (an important organic solvent) are produced from lignosulfonates. The first step involves heating lignosulfonates with sulfides or elemental sulfur to produce dimethyl sulfide. The methyl groups come from methyl ethers present in the lignin. Oxidation of dimethyl sulfide with nitrogen dioxide produces dimethyl sulfoxide (DMSO). [1]

References

  1. 1.0 1.1 1.2 1.3 1.4 Script error
  2. Script error
  3. "List of lignosulfonate CAS numbers". http://www.lignin.org/rln.html. Retrieved 2007-10-15.
  4. "Uses of lignosulfonates". http://www.lignin.org/whatis.html. Retrieved 2007-10-15.
  5. "Dyes (lignosulfonates as dispersants)". Dialogue/Newsletters , Vol. 11 No. 1. Lignin Institute. March 2002. http://www.lignin.org/02marchdialogue.html. Retrieved 2007-10-16.
  6. "Carbon Black Dispersion". Dialogue/Newsletters Vol. 12 No. 1. Lignin Institute. March 2003. http://www.lignin.org/03marchdialogue.html. Retrieved 2007-10-16.
  7. "Lignins: A Safe Solution for Roads". Dialogue/Newsletters Vol.1 No. 3. Lignin Institute. July 1992. http://www.lignin.org/roads.htm. Retrieved 2007-10-16.
  8. Script error
de:Ligninsulfonsäure

it:Ligninsolfonati ja:リグニンスルホン酸 no:Lignosulfonat